PDF-Download
Here you can find an overview of all documents of the Gütegemeinschaft Substrate für Pflanzen e.V.
General services flyer
Bark products documents
Expanded clay documents
Documents on starting materials
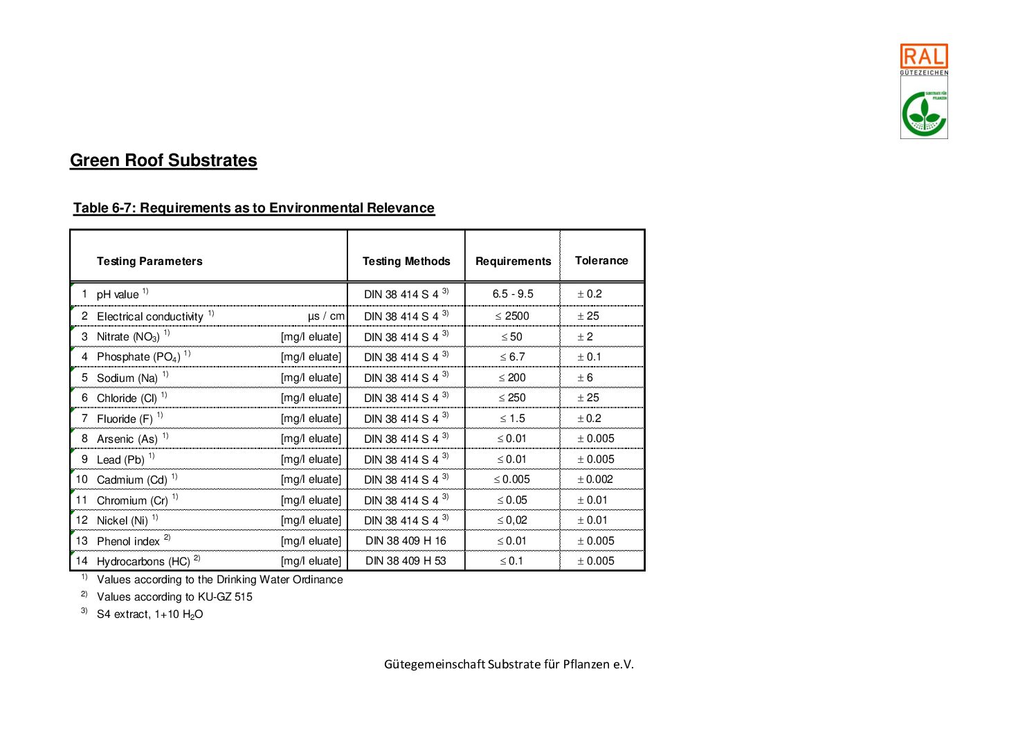
Documents about roof substrates
PDF-Download
Here you can find an overview of all documents of the Gütegemeinschaft Substrate für Pflanzen e.V.

































